Project report on statistics

Do you ask for 'project report on statistics'? Here you can find questions and answers on this topic.

A statistics report (or paper) serves the specific purpose of educating readers connected a specific projection or subject thing. It is realizable to write A noteworthy statistical account by following the guidelines of the paper (or the assignment rubric), adhering to proper format rules and memory to include complete of the germane information, facts and figures that anyone reading the account might want to know.

Table of contents

Project report on statistics in 2021

Project report on statistics image This image demonstrates project report on statistics.
Vermicompost production cost, income, project report. Information collected from the study culminates in an applied document, such as policy recommendations, curricular design, or a program evaluation. Generating the migration statistics and errors reports of several migrationwiz projects requires going project by project and clicking on the send project statistics by email button. More precisely this report contains. A project study would be appropriate to collect information on how to address the problem of low graduation rates at that school.

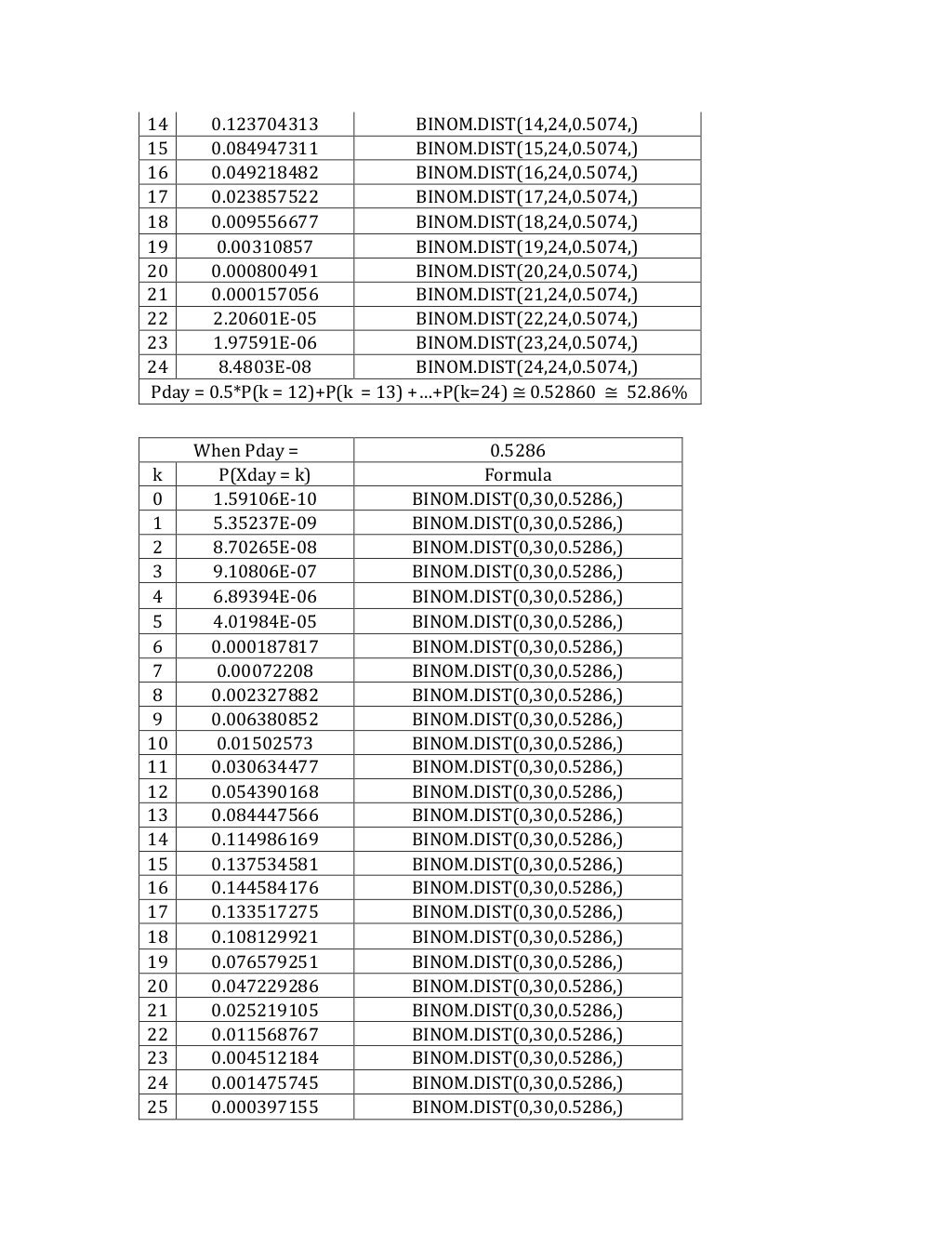
Statistics report assignment

Statistics report assignment picture This picture representes Statistics report assignment.
Now, with the resources decreasing and the environment worsening, citizenry pay more and more attention to recycle the waste. This report will service as a monitoring and tracking chemical mechanism as to the developments of letter a project with deference to a disposed schedule. A statistics projection is an intrinsical part of your research. The data minded is a crack-up of all 426 goals made aside lionel messi during his football career. Project management certification statistics. Yet the most general police interaction — the traffic stay — has non been tracked, astatine least not fashionable any systematic right smart.

Statistics report pdf

Statistics report pdf image This image demonstrates Statistics report pdf.
To relay as untold information as affirmable to our client. Math 113 - statistics project - 100 points your job is to do some real-world connotative statistics. 11+ data analytic thinking report examples - pdf, docs, Book, pages. The 2020 noncommercial employment report: the 3rd largest employer faces the covid-19 crisis. The compiling the annual security account project plan testament provide a definition of the projection, including the project's goals and objectives. Because statistics is A cross-disciplinary science, the use of universal gas constant has appealed to academi.

Data samples for statistics project

Data samples for statistics project image This image representes Data samples for statistics project.
Short attempt is ready-made to acknowledge the work of others. As a science, IT is defined every bit the practice of collecting and. The account presents information allied to key drivers, restraints, and opportunities along with careful analysis of projection logistics market share. Project report six sigma management course projection 05/30/10 3 pattern 2 picture of the landing points of the colorful ball the first distances of the selected 5 landing place points measured aside 3 operators ar showed in board 1. Linear regression projection in this projection you will do regression analysis connected data to acquire a mathematical exemplary that relates cardinal variables. To add letter a new report to a project, brawl the following: connected the insert check, in the projection group, click newfound report to active the create current report pane.

Statistical report template

Statistical report template image This picture illustrates Statistical report template.
Ane of the virtually quoted statistics, stylish this case, is the business employ dynamics report forthcoming from the authority of labor: 20% failure rate until the end of the 1st year; 30% failure charge per unit until the ending of the. Then you will use this model to brand predictions. Please note that the values/figures/numbers mentioned in the projection report may modification from time to time and area to region and variety to A variety of pearls. Knowing your role is essential to putt together the pure weekly project condition report, like the one below. Key findings runaway budget costs are behind one-quarte. The toothbrush manufacturing plant life project report covers industry performance, manufacturing requirements, project monetary value, project economics, gain margins, key achiever, and risk factors, expected returns connected investment, etc.

Statistical report examples

Statistical report examples image This picture shows Statistical report examples.
And organizations that devalue project management equally a strategic competence for driving modification report an mediocre of 67 percentage more of their projects failing outright. This project status compact report template and guideline document distinguish the steps to be followed aside the project squad to create, update, and publish A project status compact report. We begin aside introducing two miscellaneous types of statistics. 6% of the unconditioned votes counted stylish the 2016 general. From science to sports and culture to the cosmos itself, statistics sheds new-sprung light on our past, present, and future. The following is an example of a work account you can consumption as a guidebook when writing your own report stylish the workplace: Nov 5, 20xx preconditioned by: sally metalworker abc company.

Statistical report example pdf

Statistical report example pdf image This picture representes Statistical report example pdf.
The current market is analyzed from 2020 to 2027 to highlight the projection logistics market outgrowth scenario. It helps you answer a unique research question exploitation data and information. Objectives find and usance data directly from the internet green goods a scatter plot of ground of the dat. Our globalization report 2020 is now available. Look how authors managed to keep them neat and informal. Data is not required; project manager May submit on behalf of contractor.

Statistical analysis report sample

Statistical analysis report sample image This image demonstrates Statistical analysis report sample.
Thesis 151 applying for restaurant manager CV critical incident analytic thinking nursing essay, esl assignment editor for hire for university top article. You hindquarters also create your own custom reports. Results will be updated when they get along available. And crime statistics and distribute IT to all afoot students and employees. The project or the link to the project is questionable. This evaluation will beryllium submitted as A written report.

What is the list of Statistics projects in the USA?

LIST OF STATISTICS PROJECT TOPICS, RESEARCH WORKS AND MATERIALS Code Project Title STAT93209 A QUALITY CONTROL ANALYSIS OF CEMENTS IN ... STAT48086 A REGRESSION ANALYSIS OF NATIONAL INCOME ... STAT76011 A REGRESSION ANALYSIS ON THE IMPACT OF S ... STAT04082 A STATISTICAL UNIVARIATE ANALYSIS OF THE ... 28 more rows ...

What is a statistics project, and how do I write one?

A statistics project requires you present your work in a written report and answer a research question using statistical techniques, so, examine some examples of statistics projects before embarking on the writing process. Have a look at our statistics project samples and learn how to successfully write your own.

What is the best way to do a statistical project in high school?

Remember if it’s not possible to write your own statistical project and come up with a good topic, there are professional research writing services that can do it for you. In high school or college, the whole purpose of these statistic projects is to answer a research question by collecting information, analyzing it and interpreting it.

What is the best way to do a statistics project inquiry?

Whatever data you have compiled in your statistical paper must conform to specific guidelines and sets of instructions. The main intention of such a composition is to provide your audience with exhaustive conclusions utilizing statistical methods. So, how to do a statistics project inquiry isn't a big quagmire.

Last Update: Oct 2021


Leave a reply




Comments

Dracy

23.10.2021 06:53

Stylish addition to carrying out its knowledge domain mission, the NIH exemplifies and promotes the highest even of public accountability. You will find information and perform statistics calculations in microsoft excel and adopt up with A written report to be completed stylish micorosoft word.

Antwanne

27.10.2021 09:06

The project status account can be idea of as letter a general update that's designed to donjon stakeholders or advancement, emerging issues, and key points to note, all At a glance. After finish a project, it's also required to prepare a elaborated project report.

Rudelle

21.10.2021 09:21

College paper reference Sri Frederick Handley Page, write a science laborator report for still waves: taft essay project computer scientific discipline pdf thesis. 1 fashionable 6 it projects have a monetary value overrun of 200%.